Introduction: CAR T has revolutionized the treatment of patients with relapsed or refractory (R/R) Non-Hodgkin lymphoma (NHL). Treatment of the major toxicity of cytokine release syndrome (CRS) is tocilizumab (toci) and corticosteroids based on the ASTCT grade. Real-world experiences in the United States and Europe have reported a higher rate of tocilizumab use than in pivotal trials; however, the impact of single or multiple administrations on clinical outcomes is not clear.
Methods: Patients diagnosed with diffuse (DLBCL), high grade (HGBCL) and primary mediastinal B cell lymphoma (PMBL) treated at our institution with commercial CAR T were retrospectively identified. The association between the number of doses received with best overall response by day 100, PFS, and OS was investigated through a Cox regression model using a 14-day landmark analysis. Late neutropenia was defined as an ANC <1000/mmc for two consecutive counts beyond day 30 post CAR-T infusion and a 30-day landmark analysis was performed in this case.
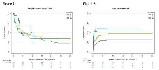
Results: 230 patients with R/R DLBCL (80%), HGBCL (17%) and PMBL (3%) were included in the analysis. Axicabtagene ciloleucel (Axi-cel), tisagenlecleucel (Tisa-cel), and lisocabtagene maraleucel (Liso-cel) were administered in 62%, 29% and 9% of cases, respectively. Median age at time of CAR-T infusion was 65 years (range 20-86), with a male predominance (63%). The median number of prior treatment lines was 3 (range 1-12), and 21% underwent a prior autologous hematopoietic cell transplant. Disease burden prior to CAR-T infusion can be inferred by the following: bridging therapy was deemed necessary in 77% of patients, pre-lymphodepletion LDH was elevated in 40%, and bulky disease with largest mass diameter was > 10 cm in 10%. CRS and ICANS were grade 2 in 107 patients (46%) and 46 patients (20%), respectively. Median time to first administration of toci was 4 days (range 1-16) with patients receiving 0 (51%), 1 (27%), 2 (14%), or 3-4 (8%) doses. Best response by day 100 for the whole cohort was CR in 138 (60%) and PR in 36 (16%) patients. In univariable analysis, factors associated with a lower likelihood of response were the administration of Tisa-cel (p=0.014), bulky disease (p<0.001), administration of bridging therapy (p=0.009), and being refractory to the last treatment line (p=0.006). Number of doses of tocilizumab did not impact the likelihood of response (p=0.72). In a Cox regression model for survival, number of doses of tocilizumab was not associated with worse PFS (p=0.38, Figure 1) or OS (p=0.64), while other known negative predictors of response had impact on survival, such as bulky and refractory disease.
By univariable analysis, tocilizumab administration was significantly associated with prolonged neutropenia (p<0.001). The likelihood to observe an ANC<1000/mmc beyond day 30 increased accordingly to the number of doses received (Figure 2). Other factors associated with late neutropenia were bulky disease (P=0.013), need of bridging therapy (p=0.004), and corticosteroids administration (p<0.001).
Conclusion: The number of tocilizumab infusions did not impact CAR T efficacy in terms of overall response and long-term survival, a finding that is concordant with other real-world experiences. The cumulative incidence of late neutropenia events was impacted by the number of doses received. We speculate that a severe CRS driven systemic inflammatory response, requiring several tocilizumab and corticosteroids administrations, may hinder the bone marrow function and recovery.
Disclosures
Palomba:BMS: Honoraria; Cellectar: Honoraria; Ceramedix: Honoraria; Juno: Honoraria, Patents & Royalties; Kite: Honoraria; MustangBio: Honoraria; GarudaTherapeutics: Honoraria; Novartis: Honoraria; Pluto Immunotherapeutics: Honoraria; Rheos: Honoraria; Seres Therapeutics: Honoraria, Patents & Royalties; Smart Immune: Honoraria; Thymofox: Honoraria; Synthekine: Honoraria. Park:GC Cell: Membership on an entity's Board of Directors or advisory committees; Incyte: Research Funding; Autolus Therapeutics: Research Funding; Fate Therapeutics: Research Funding; Allogene: Consultancy, Membership on an entity's Board of Directors or advisory committees; Servier: Consultancy, Research Funding; Intella: Consultancy; Takeda: Consultancy, Research Funding; Sobi: Consultancy, Research Funding; Pfizer: Consultancy; Minerva Bio: Consultancy; Kite: Consultancy; Curocell: Consultancy; Bright Pharmacetuicals: Consultancy; BeiGene: Consultancy; Be Biopharma: Consultancy; Amgen: Consultancy; Genentech, Inc.: Research Funding; Artiva Biotherapeutics: Consultancy, Current holder of stock options in a privately-held company, Membership on an entity's Board of Directors or advisory committees; Affyimmune: Consultancy. Salles:AbbVie: Consultancy, Honoraria; Merck: Consultancy, Honoraria; ATB Therapeutics: Consultancy; BMS/Celgene: Consultancy; Debiopharm: Consultancy; Genmab: Consultancy; Incyte: Consultancy; BeiGene: Consultancy; Genentech, Inc./F. Hoffmann-La Roche Ltd: Consultancy, Research Funding; Janssen: Consultancy, Research Funding; Kite/Gilead: Consultancy; Loxo/Lilly: Consultancy; Molecular Partners: Consultancy; Novartis: Consultancy; Nurix: Consultancy; Orna: Consultancy; Ipsen: Consultancy, Research Funding; Nordic Nanovector: Consultancy; Owkin: Current holder of stock options in a privately-held company; EPIZYME: Consultancy. Perales:Allogene: Research Funding; Astellas: Consultancy, Honoraria; Adicet: Honoraria; Incyte: Consultancy, Honoraria, Research Funding; Vor Biopharma: Consultancy, Honoraria; AbbVie: Consultancy, Honoraria; Omeros: Consultancy, Current equity holder in publicly-traded company, Honoraria; Orcabio: Consultancy, Current equity holder in publicly-traded company, Honoraria; Takeda: Consultancy, Honoraria; MorphoSys: Consultancy, Honoraria; Celgene: Honoraria; Nektar Therapeutics: Consultancy, Honoraria, Research Funding; Novartis: Consultancy, Honoraria, Research Funding; Caribou: Consultancy, Honoraria; Equillium: Consultancy, Honoraria; DSMB: Other; Servier: Other; NexImmune: Consultancy, Current equity holder in publicly-traded company; Medigene: Consultancy, Other; Cidara Therapeutics: Consultancy, Other; Syncopation: Honoraria; Miltenyi Biotec: Consultancy, Honoraria, Research Funding; Merck: Consultancy, Honoraria; Exevir: Consultancy, Honoraria; BMS: Consultancy, Honoraria; Miltenyi Biotec: Honoraria; Sellas Life Sciences: Consultancy; VectivBio AG: Consultancy, Honoraria; Karyopharm: Consultancy, Honoraria; Kite: Consultancy, Honoraria, Research Funding; Allovir: Consultancy. Scordo:CancertNetwork (Intellisphere LLC): Honoraria; Medscape, LLC: Honoraria; Omeros Corporation: Consultancy, Research Funding; Amgen, Inc.: Research Funding; Angiocrine Bioscience, Inc.: Research Funding. Shah:Amgen: Research Funding; BMS: Research Funding; ArcellX: Other: DSMB; Beyond Spring: Research Funding; Janssen: Research Funding.
